Esquemas gratuitos para tu oposición. Esquemas de la Constitución Española, TREBEP, LPAC, LRBRL, Ley de Contratos, Ley del Gobierno, LRJSP.. LEY 38/2003 - GENERAL DE SUBVENCIONES; LEY 40/2015 - RÉGIMEN JURÍDICO DEL SECTOR PÚBLICO; LEY 58/2003 - GENERAL TRIBUTARIA; LO 6/1985 - PODER JUDICIAL;. Uno de los principios que va a regir la nueva Ley General de Subvenciones, que como ya se ha señalado están inspirados en los de la Ley de Estabilidad Presupuestaria, es el de la transparencia. Con este objeto, las Administraciones deberán hacer públicas las subvenciones que concedan, y, a la vez, la ley establece la obligación de

Ley 38/2003 General de Subvenciones FANDIT
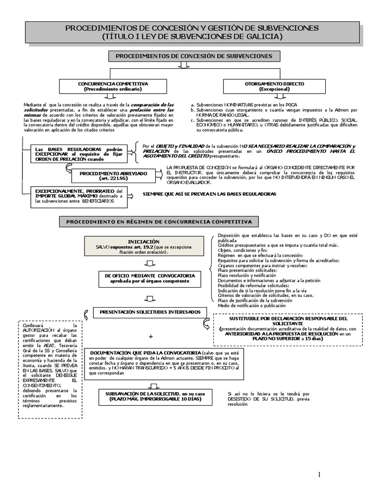
![Esquemas Ley Subvenciones Galicia [PDF Document] Esquemas Ley Subvenciones Galicia [PDF Document]](https://cdn.vdocuments.site/img/1200x630/reader021/image/20170801/577c80251a28abe054a782d0.png)
Esquemas Ley Subvenciones Galicia [PDF Document]

Programa De Innovacion Esquema Resumen

esquema subvenciones dirigidas al fomento de determinados

Puntos clave de la Ley de Subvenciones

Ley General de Subvenciones Apuntes de Derecho Administrativo Docsity

Anexo 1 resumen ley subvencion

Manual sobre Comentarios a la Ley General de Subvenciones para

Procedimiento y trámite para la ejecución y liquidación de subvenciones
MurciaSocial Decreto número 156/2021, de 5 de agosto, por el que se

Resumen Ley General Subvenciones ACTIVIDAD SUBVENCIONAL DE LAS AAPP

Anexo 1 resumen ley subvencion

Esquema resumen ley general de subvenciones Actualizado julio 2023

esquema subvenciones fomento del desarrollo de actividades

Guía básica sobre subvenciones YouTube

CuadroResumen de Subvenciones 382003 LEY 38/2033 Subvenciones Toda

Normativa de Subvenciones. Ley 38/2003, de 17 de noviembre, General de

5 Diferentes categorías de subvenciones
Esquemas Ley Subvenciones Galicia

Subvenciones y Ayudas Públicas
• Ley 38/2003, de 17 de noviembre, General de Subvenciones. Ar culo 18. • Real Decreto 887/2006, de 21 de julio, por el que se aprueba el Reglamento de la Ley. 3.1 Obligaciones de publicidad ac(va de beneficiarios de subvenciones El ar culo 4 de la Ley 1/2022 establece lo siguiente: Ar culo 4. Otros sujetos obligados 1. Tendrán que.. Esquema resumen ley general de subvenciones. Publicada el marzo 8, 2024 por Daniela Lopez. La ley general de subvenciones es una normativa que regula el otorgamiento y gestión de las subvenciones públicas en España. A través de ella, se busca asegurar la transparencia y eficiencia en la distribución de recursos económicos destinados a.